What is demand forecasting in Retail

Defining Demand Forecasting
Demand forecasting as the term suggests is predicting the need for a product in the near future. Take a simple example - “World petrol demand likely to peak by 2030 as electric car sales rise” as said by The Guardian about two years ago. This simple one-line statement has a considerable amount of analysis behind the scenes, and the impact it brings on the present-day oil companies to brace themselves for the future has to be great. Why? Because telling someone who has been selling ten apples daily for a long time now, will require a significant time to safeguard themselves to a future where they might only be selling one apple due to the development of a newer fruit.
Demand Forecasting in Retail
Demand forecasting in retail will help a business understand how much product would sell at any given time in the future, which can help them tackle the two most important challenges that such businesses face -Stock Outs and Excess Inventory. With an increasing level of sophistication in the present day technology along with the tremendous talent growth in the field of data science, developing quantitative forecasts has become easier with the help of statistical, machine learning and deep learning models. Such models have made the old practices of decision making based on gut feeling obsolete.

The Retail System Report (2017) by SAS analyzes that 77% of the winning retailers prioritise demand forecasting which not only helps them become cost-effective but also helps improve overall customer experience.
The Retail System Report (2017) by SAS analyzes that 77% of the winning retailers prioritize demand forecasting, which not only helps them become cost-effective but also helps improve overall customer experience.
How it Helps Retailers
When it comes to being profitable for a business, one of the most effective methodologies is to cut costs. Demand forecasting effectively does so by reducing the holding costs and helps one to plan their inventory in such a way that it maximizes profit. Moreover, it can help diminish the stock out days, pushing customers to other competing businesses. When one forecasts in retail, they mostly get sales predictions across all SKUs and stores, taking into account past data. The models employed capture customer behaviour towards different SKUs and thus lead to better inventory management. Imagine being a retail chain that sells mango pickle and coconut chutney that has stores in Chennai and New Delhi. Intuitively you would not store equal amounts of the products in both stores simply because they would not sell similarly. You know mango pickle has to sell more than coconut chutney in New Delhi and vice versa, so to maximize sales you would store more mango pickle in Delhi and more coconut chutney in Chennai.
In addition to assortment planning, demand forecasting will ensure that money on supplies is spent, only if needed. If one is not able to achieve their target sales (overpredicted forecasts), they can employ promotion strategies to amp up sales. If they exceed their sales expectations (underpredicted forecasts), they can always ask for more stock to come in or prepare to cross-promote related products.
The best way to increase customer satisfaction and build brand loyalty is to meet their needs at the same moment of that need. Less stock out days ensures this. Once we guarantee the availability of the product, we can spend more focus on improving their overall experience with adequate and well-trained staff, which can assist them and also introduce them to the latest products and other offers.

In addition to the above-stated benefits, demand forecasting can also optimise financial planning for the business, employ purchase order automation to reduce stock issues, track business progress, align processes and grow in a sustainable manner.
Risks Associated with Demand Forecasting
Myriad literature available online, most of the challenges associated with demand forecasting are:
- Accuracy of the source data
- Forecasting demand for new products without historical data
- Presence of erratic seasonal patterns in sales data
- Forecasting for short-lived products (e.g. dairy)
- Handling missing values
- Incorporating a geographical aspect to the forecast (store locations etc.)
- Selecting the right hierarchy (store level/product level etc.) and time frame for the forecast (long period or short period forecasts)
Another thing that can help improve the function of demand forecasting is to customize the penalizing of over predictions and underpredictions. Most retailers give this measure an equal weight which does not seem like a useful thing intuitively. Consider the example of a retailer selling large appliances - overprediction would mean higher inventory costs. Similarly, brands whose sales are very dependant on seasonality - say a fancy candle / diya seller would not mind overstocking in the Diwali months in India. Thus, we need to understand business needs while forecasting demand.
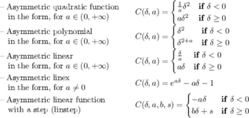
Balancing the demand can be taken care of by considering asymmetric loss functions in machine learning which allow the association of user-defined weights to the loss metric. Some asymmetric loss functions are displayed below.
δ = (observed value - predicted value)
a = weight associated with the loss

Conclusion
Demand forecasting is key to establishing long-term sustainable growth for any business today, due to the large volume of data available on customers and products in addition to the advancement in the ease of use and employability of such models and winning retailers all around the globe rate this as most important! So, start today!

